剧情介绍
这是关于复函数的第二部分。你可以在这里找到第一部分复函数的美丽世界,探索更高维度的隐藏结构。
在第一部分中,我们介绍了全纯函数和亚纯函数以及它们的性质。在这一部分中,我们将继续沿着这条路走下去,但是将重点放在另一个关于全纯函数的惊人事实上。
在陈述这些著名的结果之前,让我们先感受一下函数的不同表示方式。
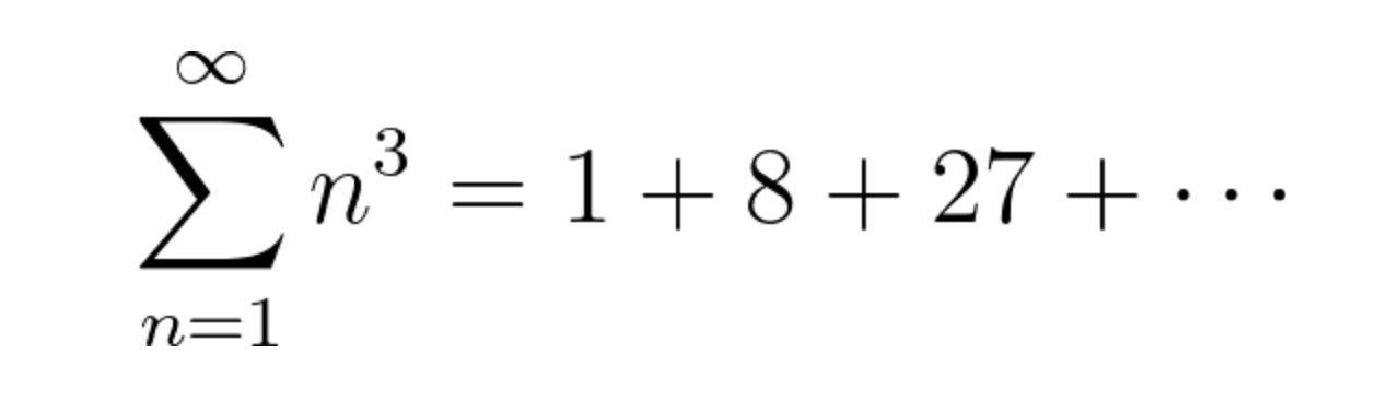
让我们定义函数g如下所示:
很明显|z| < 1,否则级数发散,变成无穷。如果我们把g看作一个复变量的复函数,它的定义域为单位圆盘,即在复平面上以0为中心,半径为1的圆盘。这叫做幂级数的收敛半径。
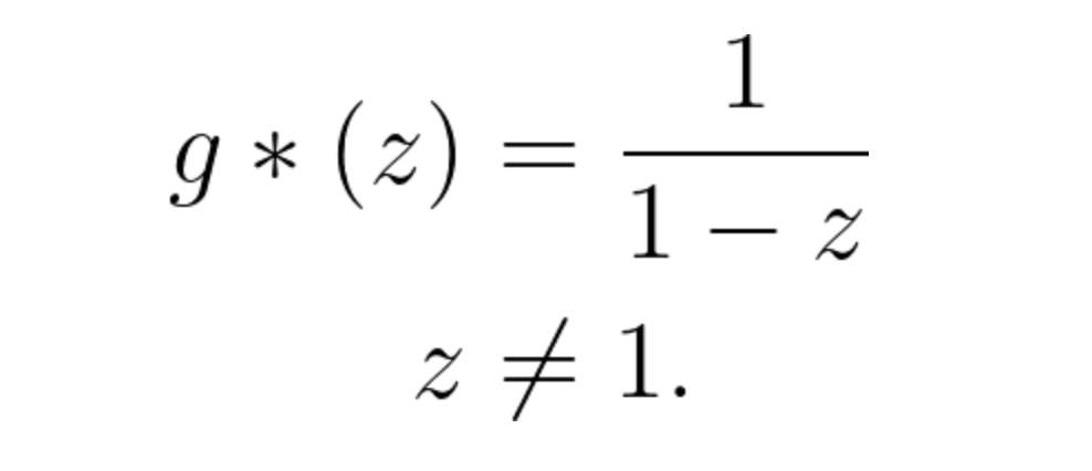
这都没问题,但是我们可以在这个圆盘上用另一种方式表示这个函数,也就是:
在单位圆盘上这两个函数等同是很容易证明的。但很明显,它们作为函数是不相等的,因为它们的定义域不同。然而,我们很快就会看到,在某种意义上,这两个函数仅仅是同一函数的两种表示。
我们稍后会回到这个话题。最好先记住这个例子。
第一步是关于全纯函数的一个惊人的事实。
恒等定理
全纯函数的恒等定理表述如下:
给定域d上的两个全纯函数f和g,如果f = g在某个 a ? d 上,其中a有一个积点,则f = g在d上。这意味着一个全纯函数完全由它在d中的单个开邻域上的值决定。
降维说就是,如果两个全纯函数在一个圆上相等(无论多么小),那么它们在任何地方都相等。
因此某种程度上,为了使函数成为全纯函数而必须通过的严格要求将这种结构置于函数上,以使其所有信息都包含在可想象的最小区域的图像中。局部信息还是全纯函数的全局信息。
解析延拓
假设f是定义在复平面?的非空开子集u上的全纯函数。如果v是?中包含u的较大开子集,且f是定义在v上的一个全纯函数,使:
f(z)= f(z)对于u中的所有z,那么f被称为f的解析延拓。
让我们再一次用更容易理解的词来翻译:
如果两个全纯函数f和f在某个域u上相等,而f在包含u的更大的域上是全纯的,则f称为f的解析延拓。
现在,关键是:
恒等定理暗示解析延拓是唯一的,如果v上有另一个全纯函数g,使得g(z)=f(z)对于u中的所有z,那么f =g。
这是一个显著的结果。这意味着只有一种方法可以扩展解析函数(如果扩展也需要是解析的)。
如果我们考虑上面的例子,g是上面的几何级数,g*是等于g在单位圆盘上的封闭形式的表达式,我们现在可以自信地说g*是g在?{1}域上的唯一的全纯扩展。
数学家们倾向于认为解析延拓与它所扩展的函数是相同的,只是在较小的域上有不同的可能表示。
解析延拓的应用
这些都没问题,但我们能用它做什么呢?我想最好的例子之一,就是黎曼ζ函数上的功。
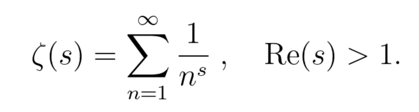
我们从定义函数开始:
注意,s的实部必须大于1,否则,级数会发散。
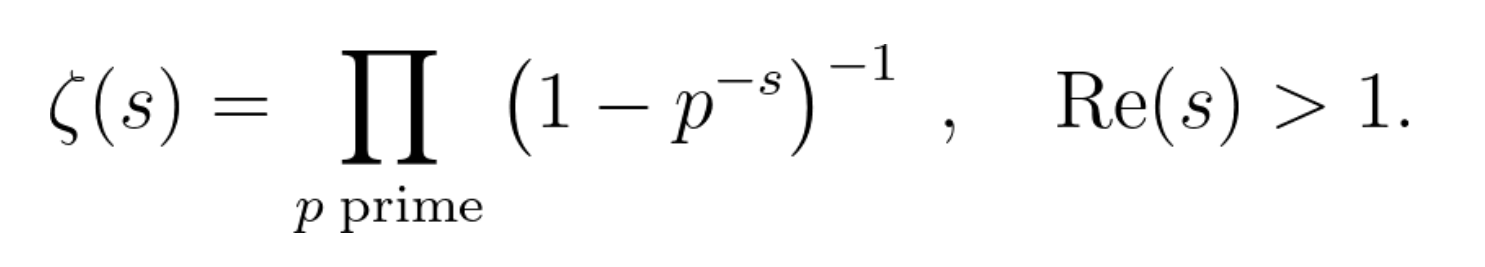
- 函数的经典级数表示的收敛范围
这个函数在同一个域中有另一个表达式,它是所有质数的乘积,叫做欧拉积。
这是伟大的莱昂哈德·欧拉的一个惊人的数学发现,它在函数中隐藏了一些关于质数的信息。
函数的两个表达式相等这一事实,在加法和乘法的世界之间,意味着存在着某种桥梁。事实证明,它们之间真正的桥梁超出了域re(s) > 1,因此我们需要解析延拓。
为了提取质数分布的信息,我们从黎曼ζ函数中所需要的信息就是它的零点子集是如何分布的。这个子集是零的集合,它位于所谓的临界区间0 < re(s) < 1上.
注意函数f的0点是一个使f(r) = 0的数r。
黎曼猜想所有这些0点都对称地分布于垂直线re(s) = 1/2上的条形上。这被称为“黎曼假说”,是数学中最大的未解之谜之一。
回到主题上来。信息位于收敛区域之外。现在,我们如何继续解析黎曼 ζ函数?
实际上,有几种方法可以做到这一点。我将给你们两种非常有趣的方式。
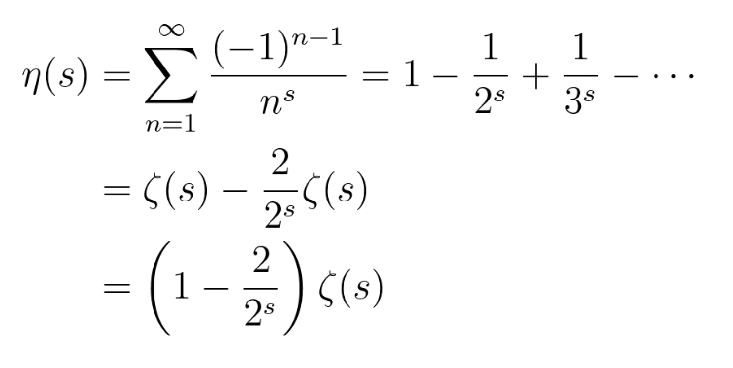
第一种方法是,如果我们取由上面的无穷级数定义的函数,然后减去两个“偶数”项,然后我们得到交替的函数:
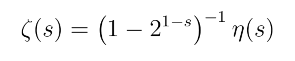
化简这个等式可以得到:
并且由于可以证明函数对于re(s) > 0收敛,这实际上是黎曼函数的解析延拓。
另一个神奇的方法是通过黎曼自己首先发现的一个函数方程来继续分析这个函数。
在我看来,这是数学中最美妙的关系之一。右边倒数第二个因子叫做γ函数,它是复数阶乘的推广。
我们清楚地看到 ζ函数在负偶数处必须是0,因为sin项在这里消失了。
这给出了除s=1外的整个复平面的解析延拓。该函数方程可作为所有的?上的亚纯函数方程。
评估无限数量
这个话题在数学界引起了不小的轰动,因为一些物理学家声称,人们可以简单地做一些不合理的操作,比如设置无限发散级数:
1 + 2 + 3 + 4 +…=-1/12。
这当然是胡说八道(他们也知道这一点)。话虽如此,在这个方向上有一些令人毛骨悚然的事情正在发生,我认为我们还没有完全理解。物理学家称它为ζ正规化等一些奇特的名字,但是还有一些问题我们还没有解释清楚。
让我试着通过一个例子来详细说明。
事实证明,如果你试图制造一个真空,那么无论你做得有多好,粒子(被称为虚拟粒子)总是会在这个地方出现或消失。我们现在是在量子力学的领域,所以小心你的物品不翼而飞。
这种虚粒子现象被称为量子涨落,这一切都与场有关。不是数学领域,而是量子领域。场是空间的一种属性,每个点都有一个值。例如,如果我们认为温度是连续的,那么它就像一个场,因为每个点都有一个值(也就是它的温度)。但我们都知道,因为温度与粒子的动能有关,所以它不是完全连续的。然而,在物理学中,我们研究的是场,如电磁场或引力场,它们都是真正的场。
上面提到的场是力场,但实际上,物质粒子也有与之相关的场。电子有电子场,上夸克有上夸克场,等等。这是因为所有的粒子(在这个理论中)都是它们所在的场中的激发,例如,光子是电磁场中的一个激发。
这个理论被称为量子场论,它从数学的角度来看非常有趣,因为它涉及到微扰理论、路径积分、对称群和算子。
所有的场,特别是电磁场,都有波动。换句话说,在任何给定时刻,它们的实际值围绕一个恒定的平均值变化。即使是绝对零度的完美真空也有波动场,称为“真空波动”。
如果我们把粒子困在两块不带电的导电金属板之间,那么当我们把空间分割成一份一份时,我们就限制了出现在两块金属板之间的粒子。结果,会在板块上发射出一个力,因为板块之间的总能量比它们外部的要低,为了计算由这些能量产生的总力,我们得到了一个表达式,其中的一个因素是无限发散级数:
这看起来像是有人试图用无穷级数的定义来计算“ζ(-3)”,而无穷级数的定义只允许re(s) > 1,还记得吗?
这是从哪里来的?看来他们的计算在评估时出错了。从高层次的角度来看,当两个金属板非常接近(几纳米)时,会发生什么呢?可能在两板之间出现或消失的虚粒子的数量受到它们的波长的限制,因为它不能超过两板之间的距离。然而,在外部,粒子没有这种限制,更多的可能性发生了。这就从空间的纯量子力学特性中产生了一种力,将它们推向彼此。
这种现象被称为卡西米尔效应。
在理论计算产生引力的能量时,我们最终不得不将所有可能的驻波或模态能量(也可以是粒子的能量)相加。由于所有驻波的波长都可以写成相同常数的倍数,因此根据尺寸的不同,我们会得到与上述类型相同的发散级数。
在这些计算中,这种能量似乎是无限的,但当然,物理学家知道事实并非如此。如果你看一下上面的级数你必须给它一个有限的值,那么一个很好的猜测是解析延拓的黎曼 ζ函数在-3处的值。
毕竟,如果你把-3代入黎曼 ζ函数的级数定义中,那么你就得到了我们需要“求值”的无穷级数。
让我们用泛函方程来求ζ(-3)。我们需要计算如下:
- 欧拉告诉我们ζ(4) = π /90
- 当然,1/23= 1/8
- Γ(4)= 3 != 6
- sin(3π/ 2)= 1
当我们把上面的式子代入公式,我们得到:
ζ(-3) = 6 ? π?/ 8?90? π? = 1 /120。
注意!这不是上述级数的值。这是黎曼ζ函数在点-3处的值。
但令人惊奇的是,当物理学家在他们的公式中用1/120代替无限时,当他们在实验室里做实验时,它们测量了解析延拓法所预测的力的精确量。
这是怎么回事?大自然是否吞下了无穷无尽的能量?波和能量可以湮灭,当所有的虚能量都被抵消了,那么真正的正规化值仍然存在
但有趣的是,自然似乎真的同意我们从解析延拓中得到的值。因为毫无疑问,这是一种自然现象,一种源于粒子和场的真实本质的空间量子特性。